Directions: Choose the best answer as an algebraic expression for each verbal statement. Answer ALL of the questions (or only a few at a time), then use the CHECK ANSWER button at the bottom of the page to see your progress. If you see that an answer is incorrect, go back and redo that question and CHECK ANSWERS again.

1.  Four more than six times a number.
  [1]  6 + 4n   [2]  4 + 6n   [3]  6(4n)   [4]  4(6n)

 

2. The product of twenty and a number.
  [1]  20 + n
  [2]  20 - n   [3]  20n   [4]  20/n

 

3. The sum of triple a number and the product of four and five.
  [1]  3n (4•5)   [2]  3n (4 + 5)   [3]  (3 + n) • (4•5)   [4]  3n + 4•5

 

4.  Twelve less than the product of seven and a number.
  [1]   7n - 12   [2]  12 - 7n   [3]  7 + n - 12   [4]  12 - (7 + n)

 

5.  The number of inches in m feet.
[1]   6m [2]   12m [3]  24m [4]  36m

 

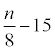
6.  Fifteen less than a number divided by 8.
[1  m1 [2]  8n - 15 [3]  m2 [4]   15 - 8n

 

7.  Ian has 67 baseball cards. If he buys c cards each week for w weeks, what is the total number of cards he will have?
  [1]  67cw
  [2]  67 + cw   [3]  67c + w   [4]  67 + c + w

 

8.  The perimeter of a square with a side of x + 3.
  [1]  x2 + 9
  [2]  x2 + 6x + 9   [3]  4x + 12   [4]  4x + 3

 

9.  Colin has 3 more CDs than Angela. Harley has twice as many CDs as Colin. If n represents the number of CDs owned by Angela, express the CDs owned by Harley.
  [1]  2n + 3   [2]  2(n + 3)   [3]  3(n + 2)
  [4]  2 + (n + 3)

 

10.  Two numbers are consecutive even integers. If the smaller number is a + 8, express the larger number.
  [1]  a + 10
  [2]  a + 9   [3]  2(a + 8)   [4]  a + 6

 


divider

NOTE: The re-posting of materials (in part or whole) from this site to the Internet is copyright violation
and is not considered "fair use" for educators. Please read the "Terms of Use".