|
Directions: Read carefully.
1. |
Given .
AD = 24, BC = 12, AB = CD.
|
|
a) Find AB.
Choose:
|
b) Find BD.
Choose:
|
|
2. |
Given , with point P on the segment between point R and point S.
RP = 2x - 3, PS = 3x + 6, and RS = 38.
a) Find RP.
Choose:
b) Find PS.
Choose:
|
|
|
3. |
Given a segment from D to G as shown.
EF = 14, DG = 68, and DF = 42.
Find EG.
Choose:
|
|
|
4. |
Given a segment from P to Q as shown.
PD = 3 and DQ +
PQ = 21.
Find DQ.
Choose:
|
|
|
5. |
Points A, B, C and D are collinear points such that the order is A - B - C - D and AB > CD.
Which of the following statements is true?
Choose:
|
 |
|
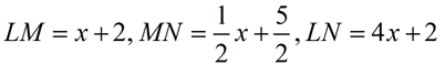
6. |
Given a segment from L to N as shown.

Find MN.
Choose:
|
|
|
7. |
Given collinear points J, K, L, M as shown.
JL = 3x - 1
KL = 2
KM = 3x - 2
JM = 4x - 1
Find JK + LM.
Choose:
|
|
|
8. |
Points A,B,C,D,E are collinear as shown.
C is the midpoint of .
D bisects .
DE = 5, AB = 6
Find AE.
Choose:
|
|
|
9. |
Points A, B and C are collinear in that order.
AB = x
BC is twice AB
AC = 2x + 8.
Find AC.
Choose:
|
|
|
|
10. |
Given a segment from point A to point B with M at its midpoint.
AM = 2(3x - 1)
AB = 5(2x + 4)
Find AB.
|
|
|

NOTE: The re-posting of materials (in part or whole) from this site to the Internet
is copyright violation
and is not considered "fair use" for educators. Please read the "Terms of Use". |
|