|
Algebra 1 worked primarily with "explicit" sequences. Algebra 2 will extend the concept of "explicit sequences" to include additional information and more challenging situations.
 |
An explicit sequence is a sequence defined by a "formula" that calculates any term, an, in the sequence based upon its position n in the sequence. |
|
An explicit formula designates the nth term of the sequence,
as an expression of n
(where n = the term's location). It defines the sequence as a formula in terms of n.
It is generally written in subscript notation an,
but functional notation,
f (n) is also possible.
An explicit formula allows you to jump to any term in a sequence to find its value.
| Not all sequences can be defined (expressed) as an "explicit" formula. |

Let's take a look at some sequences that are explicit sequences,
(1, 3, 5, 7, 9, 11, ...}
explicit formula:
an = 2n - 1
This is the set of odd positive integers.
It is an arithmetic sequence with a common difference of 2.
|
a) Find a3. Read from listing, 3rd place = 5.
b) Find a10. Use explicit formula:
a10= 2(10) - 1 = 19
c) Find a200 - a50. Use explicit formula:
a200= 2(200) - 1 = 399
a50= 2(50) - 1 = 99
a200 - a200 = 399 - 99 = 300 |
Pattern from list: The "difference" of 2 between each consecutive pair of terms
indicates an arithmetic sequence.
explicit formula:
an = -3n + 2
A decreasing arithmetic sequence with a common difference of -3. |
a) Find the first four terms.
a1 = -3(1) + 2 = -1
a2 = -3(2) + 2 = -4
a3 = -3(3) + 2 = -7
a4 = -3(4) + 2 = -10
b) Is -72 an element of this sequence?
an = -3n + 2 = -72
-3n = -74 n = -24.66666667 No, n must be a positive integer to indicate the number location within the sequence. |
Pattern from list: The "difference" of -3 between each consecutive pair of terms
indicates an arithmetic sequence.
explicit formula:
an = 4 + (-1)n
Note: The (-1)n will be -1 when n is odd and +1 when n is even. |
a) Find the first four terms.
a1 = 4 + (-1)1 = 3
a2 = 4 + (-1)2 = 5
a3 = 4 + (-1)3
= 3
a4 = 4 + (-1)4 = 5
b) Find the 230th term.
a230 = 4 + (-1)230 = 5 |
Pattern from list: Shows adding 2, then subtracting 2, in an "alternating" pattern (controlled by (-1)n ).
(2, 3, 5, 8, 12, ...}
explicit formula:
an = ½(n)2 - ½(n) + 2
A quadratic sequence.
|
a) Find a4 • a12
a4 = read from list = 8
a12 = ½(12)2 - ½(12) + 2 = 80
a4 • a12 = 8 • 80 = 640
|
Pattern from list: The "difference" between the terms increases by 1 (being +1, +2, +3, ...).
A sequence list is quadratic if the second differences between consecutive terms are constant (the same).
The second differences of (+1, +2, +3, ...) will be (+1, +1, +1, ...) = quadratic sequence.
(Take the differences of the differences.)
(1, 3, 6, 10, 15, 21, ...}
explicit formula:
an = n (n + 1) / 2
A quadratic triangle sequence.
Remember that n and n + 1
are consecutive positive integers. |
If an = 528, what is the value of n?
an = n(n + 1) / 2 = 528
½ (n2 + n) = 528
n2 + n = 1056
n2 + n - 1056 = 0
(n - 32)(n + 33) = 0
n = 32, n = -33
n cannot be negative.
n = 32. |
Pattern from list: The "difference" between the terms increases by 1, starting with 2. (being +2, +3, +4, ...).
The second differences of (+2, +3, +4,...) will be (+1, +1, +1,...) = quadratic sequence.
The specific list of {1, 3, 6, 10, ...} designates a triangle sequence.
explicit formula:
an = (-1)n(n2 + 3)
Notice how the use of (-1)n is creating a sequence with "alternating" signs. |
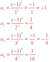
Find the first 4 terms.
 |
Pattern from list: The use of (-1)n is creating the alternating signs among the terms.
In addition, starting with -4, the consecutive terms' "differences" are increasing by the addition of
odd numbers (+3, +5, +7, ...)
Pattern from list: The use of (-1)n is creating the alternating signs among the terms.
Also, the denominators are perfect squares, and the numerators are a contant of 1.

|
It is easy to see that an explicit formula works nicely
once you are given the formula.
Unfortunately, it is not always easy to come up with explicit formulas, when all you have is a list of the terms.
The key is to "be on the lookout" for patterns
(along with a few tricks we learn in upcoming lessons). |
Powers of (-1):
Keep the pattern, involving powers of (-1), in mind when asked to write formulas.
Using powers of (-1) allows for alternating signs in a sequence.
(-1)n (n2 + 3) yields -4, 7. -12, 19, ...
(-1)n+1 (n2 + 3) yileds 4, -7, 12, -19, ...
|

|
How to use your graphing calculator for working
with
sequences
Click here. |
|
|
|
How to use
your graphing calculator for
working
with
sequences
Click here. |
|
|

NOTE: The re-posting of materials (in part or whole) from this site to the Internet
is copyright violation
and is not considered "fair use" for educators. Please read the "Terms of Use". |
|