Practice Page
Directions: Grab your paper and pencil. See Lesson for solutions of similar types of problems.

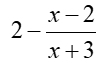
1.
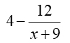
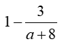
Which expression is equivalent to:   
Choose:
 

 

 

2.
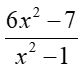
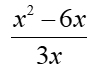
Which expression is equivalent to:   
 
Choose:
 

 

 

3.
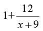
Which expression is equivalent to:   
 
Choose:
 

 

 

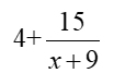
4.
The expression is equivalent to
 
Choose:
 

 

 

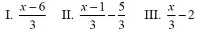
5.
Given x ≠ 0, which expression(s) is (are) equivalent to ?
 
Choose:
 
I only
III only
I and III I, II, and III

 

 

6.
Which expression is equivalent to ?
 
Choose:
 
x2
x2 - 1

 

 

7.
Which expression is equivalent to ?
 
Choose:
 

 

 

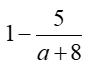
8.
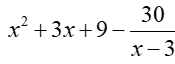
The following statement is true.

Choose:
 
Yes
No
 

 

 

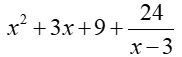
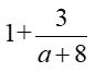
9.
The following statement is true.

Choose:
 
Yes
No
 

 

 

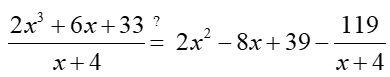
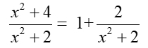
10.
Is it true that the following expressions are equivalent?

Choose:
 
Yes
No
 



divider


NOTE: The re-posting of materials (in part or whole) from this site to the Internet is copyright violation
and is not considered "fair use" for educators. Please read the "Terms of Use".