|
Directions: Choose the best answer.
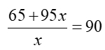
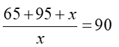
1. |
Josie scored 65 on her first Chemistry test and is upset with her poor score. She wants to try to score 95 on all of the remaining tests this semester to raise her average. Write an equation that will determine the number of additional tests, x, she will need to take to raise her average to 90. |
|
|
|
2. |
The area and width of a rectangle are given as shown at the right.
Find the length, l, of the rectangle in terms of x.
|
 |
|
|
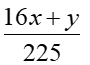
3. |
A pet food company produces two size cans of their new flavor of dog food. One can weighs x ounces and the other can weighs y pounds. The company donates boxes containing 1 of each size can to local animal shelters. Which expression represents the number of boxes needed to donate 225 ounces of food? |
|
|
|
4. |
A number, n, minus ten times its reciprocal, equals 9.
The number is ...
|
|
|
|
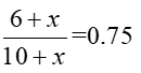
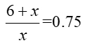
5. |
Fred and Chuck play golf every week. So far, Fred has scored higher than Chuck 6 out of 10 times. How many rounds of golf, in a row, must Fred score higher in order to improve his higher scoring rate to 75%? |
|
|
|
6. |
During a class experiment, students test their reaction time to grip a falling ruler. The number of students and their times in seconds is shown in the table below. If the mean number of seconds was 3 seconds, which equation can be used to find x?
|
|
|
|
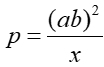
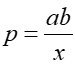
7. |
During a community hall meeting, the fire code suggests that a minimum of x square feet of space be allotted for each person in the room. If the community hall is a feet by b feet, which equation can be used to find the maximum number of people, p, the hall can accommodate. |
|
|
|
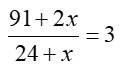
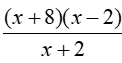
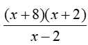
8. |
A student is working on the rational equation  . After multiplying both sides of this equation by ( x + 2), the equation that will need to be solved is: |
\ |
|
|
9. |
A parallelogram with an area of 6x2 - x - 15 square units has a height of 3x - 5 units. Represent the base of the parallelogram.
|
|
|
|
10. |
A right triangle has legs of  and  units. If the hypotenuse is 2 units, what is the value of x? |
|
|
|

NOTE: The re-posting of materials (in part or whole) from this site to the Internet
is copyright violation
and is not considered "fair use" for educators. Please read the "Terms of Use". |
|