dmall logo
Quadratic Equations with
Complex Solutions
MathBitsNotebook.com

Topical Outline | Algebra 2 Outline | MathBits' Teacher Resources

Terms of Use    Contact Person: Donna Roberts
divider
Practice Page
Directions: Solve the following quadratic equations for the indicated variable.

1.
Solve using the quadratic formula and express answers in simplest a + bi form:
                  x2 - 4x + 5 = 0
spy2
       Choose:
 
4 ± 2i
2 ± i
 
-4 ± 2i
-2 ± i

 


2.
Solve for m and express the roots in terms of i :
            m2 + 25 = -8m
spy1
       Choose:
 
4 ± 3i
4 ± 2i
 
-4 ± 3i
-8 ± 6i



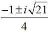
3.
Solve using the quadratic formula:
           
spy5
       Choose:
 
qfmath3b
 



4.
Express the roots in simplest a + bi form.
            2x2 = -3(2x + 3)
spy4
       Choose:
 
3 ± 2i
-3 ± 2i
  q4c q4d



5.
Solve the equation:
           x2 = 4x - 10
spy3
       Choose:
 
q5a
q5b
  q5c q5d




divider

NOTE: The re-posting of materials (in part or whole) from this site to the Internet is copyright violation
and is not considered "fair use" for educators. Please read the "Terms of Use".