|
We will examine how the Elimination Method and the Substitution Method used to solve 2 x 2 linear systems can be applied to
3 x 3 linear systems.
All of the variables will be of degree 1 (linear system).
x + 2y - 2z = -15
2x + y - 5z = -21
x - 4y + z = 18
Algebraic Solution by Elimination |
|
 |
The Elimination Method used with 2 x 2 linear systems will be put to more " active" use
in a 3 x 3 linear system. The goal will be to eliminate a variable, thus creating a more easily solved 2 x 2 linear system.
Steps to Solving by Elimination:
This process will be similar to that used for 2 x 2 systems, only repeated more times. |
[1]: x + 2y - 2z = -15
[2]: 2x + y - 5z = -21
[3]: x - 4y + z = 18 |
This method works well! |
1. Start with any two equations to eliminate a variable. Choose the easiest variable to eliminate. Then choose a different pair of equations and eliminate the same variable. You will be left with a 2 x 2 system.
Eliminate the same variable from two pairs:
To eliminate "x", subtract [3] from [1] and get:
 |
To eliminate "x" again, multiply [3] by 2, subtract from [2] and get:
 |
|
2. Now, solve the new 2 x 2 system by elimination.
Set up the two new equations as a 2 x 2 system and solve:
Set up the new 2x2 system:
 |
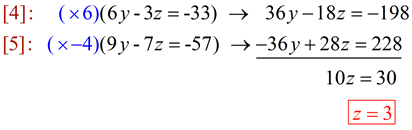
To eliminate "y", multiply [4] by 6, [5] by -4, and add:
 |
Now that we have z = 3, substitute z back into [4] or [5] to find the value of y:
 |
3. Substitute the solutions for z and y back into [1], [2] or [3] to find the value of x: |
4. ANSWER: x = -1; y = -4; z = 3 or {-1, -4, 3} |
This method shows "one" way to arrive at the answers. Other equations could have been chosen throughout the process.

Algebraic Solution by Substitution |
|
|
The Substitution Method we used with 2 x 2 linear systems will require more " repeated" use when working with a 3 x 3 linear system. The goal will to solve for one variable and reduce the system by plugging into the other equations. This process is repeated until one equation (one variable) is left. Back-substitution is then used to determine the remaining unknown variables.
Steps to Solving by Substitution:
This process will be similar to that used for 2x2 systems, but will require more simplification. |
[1]: x + 2y - 2z = -15
[2]: 2x + y - 5z = -21
[3]: x - 4y + z = 18 |
This method works well! |
Solve for one variable:
1. Start with any of the equations. Pick any variable in the equation and solve for it.
We will pick equation [3], and solve for x.
[3]: x - 4y + z = 18
x = 18 + 4y - z
|
Plug into other two equations:
2. Now, substitute this value for x into the other two equations, [1] and [2], and simplify.
Substitute into [1]:
[1]: x + 2y - 2z = -15
(18 + 4y - z) + 2y - 2z = -15
6y - 3z = -33 |
Substitute into [2]:
[2]: 2x + y - 5z = -21
2 (18 + 4y - z) + y - 5z = -21
9y - 7z = -57 |
|
Now, use substitution method for new 2 x 2 system:
3. You now have a system with two equations and two unknowns, y and z. You could solve these two equations by any method, but we will continue with the substitution method.
Set up the new 2 x 2 system:
 |
Solve [4] for z, then plug into [5] for z, and solve: |
|
4. Substitute y = -4 into [4] and solve for z. Then plug both values into [1], [2] or [3] and solve for the variable x.
 |
5. ANSWER: x = -1; y = -4; z = 3 or {-1, -4, 3} |
This method shows "one" way to arrive at the answers. Other equations could have been chosen throughout the process.

If you are interested, you can see how to solve 3 x 3 linear systems on your graphing calculator. The process will involve the use of matrices, which is a topic that will be studied in future courses. The directions are included as to how to enter the information needed.
|
For calculator help with solving 3x3 systems using matrices
click here. |
|

NOTE: The re-posting of materials (in part or whole) from this site to the Internet
is copyright violation
and is not considered "fair use" for educators. Please read the "Terms of Use". |
|
|