Algebra 1 section of MathBitsNotebook.com

A1Side
Practice Test 2 - Algebra 1
Interactive Version - Multiple Choice

Practice Outline| MathBitsNotebook.com | MathBits' Teacher Resources

Terms of Use | Contact Person: Donna Roberts
divider

Directions:  Choose the best answer.  Answer ALL questions (or only a few at a time), then use the BUTTON at the BOTTOM of the page to check your answers.  If you are told that an answer is incorrect, go back and redo that question and CHECK ANSWERS again.   You may CHECK ANSWERS at any time. You may use your graphing calculator when working on these problems.

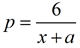
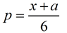
1.  Solve the following equation for p:    T2mc1

[1]  t2mc1a [2]  t2mc1b [3]  t2mc1c [4] t2mc1d



2. 
Which of these relation choices represents a function?

[1] {(3,4), (0,5), (1,5), (2,6)} [2]  {(0,0), (2,5), (3,4), (2,0)}
[3] {(1,1), (3,4), (2,1), (3,5)} [4]  {(1,1), (2,1), (-3,5), (1,4)}
 


3. 
If t2mc3, what is the range of g (x) ?
[1] (0,∞) [2] [2,∞) [3] (-1,∞) [4] [-3,∞)
 


4. 
If f (x) = x2, which transformation will result in a shift left 4 units and down 2 units?

[1] g(x) = (x - 4)2 + 2 [2] g(x) = (x + 4)2 - 2
[3] g(x) = (x - 4)2 - 2 [4] g(x) = (x + 4)2 + 2
 


5. 
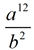
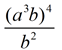
Which choice is equivalent to the expression t2mc5?

[1] a7b2 [2] t2mc5b [3] t2mc5c [4] a12b2
 


6. 
After examining the table of values below, which statement is a false statement?
t2table6

[1] The domain is {-2, 0, 1, 2, 4, 5}. [2] The average rate of change is -2.
[3] The range is {0, 1, 4, 5, 6, 8}. [4] This relation is a function.
 


7. 
When the teacher asked for examples of rational numbers, Ted's response was t2rad81and Tanya's response was t2tanya. Which statement regarding these responses is true?

[1] Both responses are irrational. [2] Ted's response is irrational, and Tanya's
             is rational.
[3] Both responses are rational. [4] Ted's response is rational, and Tanya's              is irrational.
 


8. 
Which choice satisfies the inequality y + 2 < -2x ?

[1] (-2,-2) [2] (0,0) [3] (2,-2) [4] (2,2)
 


9. 
Given the function y = x3 - 4x, what are the zeros of the polynomial function?

[1] x = 0, 2 [2] x = -2, 0 [3] x = -2, 2 [4] x = -2, 0, 2
 


10. Which of the following correlation coefficients represents the strongest linear relationship?
[1] 0.78 [2] 0.34 [3] -0.10 [4] -0.88
 


11. 
In a right triangle, the longest side is 16, and the shortest side is 6. What is the length of the third side in simplest radical form?

[1] t210 [2] t2511 [3] t2255 [4]ttn
 


12.  The graph of f (x) is shown at the right. Which choice is the graph of g (x) = - f (x) + 1 ?
12a
[1] 12c [2]12b [3] 12d [4]12e
 


13. 
Which expression is equivalent to the product 2x(x + 2)(x - 3) ?

[1] 12x3 - 12x [2]2x3 - 4x2 - 6 [3] 2x3 - 2x2 - 10x [4] 2x3 - 2x2 - 12x
 


14. 
The ages of three friends are represented by three consecutive odd integers. If the youngest of the three is represented by m, express the sum of the ages of the three friends.

[1] m2 + 4m + 3 [2] 3m + 6 [3] 3m + 3 [4] 3m + 4

 


15.  At the Math Fun Park, customers may ride the Speedy-Demon coaster if they are greater than 54 inches tall, and if they are at least 14 years of age. If h represents height, and a represents age, which choice best describes the conditions for riding the Speedy-Demon?
[1] h > 54 and a > 14 [2] h > 54 and a > 14
[3] h < 54 and a > 14 [4] h > 54 and a > 14
 


16. 
Tom and Jerry were challenging each other to a game of "What's My Function". Tom indicated that he had a function, m(x), where the output was equal to 15 less than three times the input. Which choice should be Jerry's response?

[1] m(x) = 15 - 5x [2] m(x) = -5x - 15 [3] m(x) = 3(x - 15) [4]m(x) = 3x - 15
 


17. 
If p(x) = 2x, what is the value of p(3) - p(2) ?

[1] 1 [2] 2 [3] 6 [4] 4
 


18. 
For the box plot shown below, which statement is false?
             t2box

[1] The IQR is 30. [2] The median score was 70.
[3] The third quartile is 90. [4] The range is 60.
 


19.  The graph shows the decreasing number of trees in a park over each decade. The initial number of trees was 1,000. If the decline is modeled by f (x) = 1000(½)x, what was the average rate of change between decade 1 and decade 2?
t2trees
[1] -250 [2] 250 [3] -500 [4] -750
 


20. 
If s(x) = | x | is graphed, which statement is true about s(x) ?

[1] s(x) is not a function. [2] It is negative on the interval (-∞,0).
[3] It is increasing on the interval (0,∞). [4] The domain and range are both (-∞,+∞).
 


21. 
At a school play, one family bought 3 student tickets and 2 adult tickets for $20.50. Another family bought 4 student tickets and 1 adult ticket for $19.00. What was the cost of one student ticket?

[1] $1.50 [2] $2.50 [3] $3.50 [4] $3.90
 


22. 
Combine and simplify:
(3x3 – 2x2 + 4) + (2x2 – 5x – 6) – (4x2 – 5x – 8)

[1] 3x3 + 4x2 + 10x + 11 [2]x2 – 10x + 8
[3] 3x3 + 10x + 6 [4] 3x3 – 4x2 + 6
 


23. 
Which function could be used to generate the sequence 10, 15, 20, 25, 30, 35, ... ?

[1] f (n) = 10n + 5 [2] f (n) = 10 + 5(n - 1)
[3] f (n) = n + 5 [4] f (n) = 5 + 5(n - 1)

 

24.  At which point does the function y = x2 - 4x - 12 reach its minimum value?
[1] (-2,0)
[2] (2,0)
[3] (0,-12)
[4] (2,-16)