Algebra 1 section of MathBitsNotebook.com

A1Side
Practice Test 1 - Algebra 1 blacktriangle2
Interactive Version - Multiple Choice

Algebra 1 Outline | MathBitsNotebook.com | MathBits' Teacher Resources

Terms of Use | Contact Person: Donna Roberts
divider

Directions:  Choose the best answer.  Answer ALL questions (or only a few at a time), then use the BUTTON at the BOTTOM of the page to check your answers.  If you are told that an answer is incorrect, go back and redo that question and CHECK ANSWERS again.   You may CHECK ANSWERS at any time. You may use your graphing calculator when working on these problems.
blacktriangle2 Appropriate for New York Next Generation Standards

1.  Which choice represents the solution(s) to the equation (x - 4)2 = 3x - 12 ?

[1]   x = 7 only [2]  x = -7 only [3]  x = 7, x = 4 [4]  x = -7, x = -5



2. 
Which choice is equivalent to
T12a?

[1]  4a2c [2]  4a3c-1 [3]  4a5c5 [4]  2a3c-1
 


3. 
Which expression is NOT equivalent to 32x + 28y ?
[1] 4(8x + 7y) [2] 4(5x + 7y + 3x) [3] 30(2x - 2y) [4] 2(16x + 14y)
 


4. 
At which point does the function y = -x2 + 6x - 5 reach its maximum value?

[1] (3,4) [2] (-3,4) [3] (1,4) [4] (4,3)
 


5. 
Which table represents a linear relationship?

[1] tablechart4 [2] tablechart3 [3] tablechart2 [4] tablechart1
 


6. 
The slope of a line is ½ and the y-intercept is 4. Which choice is the x-intercept of this line?

[1] -8 [2] 8 [3] -4 [4] 4
 


7. 
For which function defined by a polynomial, are the zeros of the polynomial -2 and -7?

[1] y = x2 + 9x - 14 [2] y = x2 - 9x + 14 [3] y = x2 + 9x + 14 [4] y = x2 - 9x - 14


 
8.  Three consecutive odd integers have a sum of -45. Which of the these three integers has the largest numeric value?
[1] -13 [2] -15 [3] -17 [4] -19
 


9. 
If h (x) = 2x2 + 3x + 1, find h (-2).

[1] 15 [2] -13 [3] 3 [4] -3
 

 

10.  In the diagram at the right, the dimensions of the large rectangle are (3x - 1) by (3x + 7) units. The dimensions of the cut-out rectangle are x by 2x + 5 units. Which choice expresses the area of the shaded region, in square units?
t110
[1] x2 + 23x - 7 [2] x2 + 13x - 7 [3] 7x2 + 23x - 7 [4] 7x2 + 13x - 7
 


11. 
Simplify:

[1] [2] [3] [4]
 


12. 
What is the 30th term of the arithmetic sequence 3,8,13, 18, 23, ...?

[1] 28 [2] 38 [3] 148 [4] 153
 


13. 
What is an equation of a line that passes through the points (-4,2) and (2,5)?

[1] y - 2 = 2(x - 4) [2] y - 5 = ½(x - 2) [3] y + 5 = ½(x + 2) [4] y - 2 = 2(x + 4)
 


14. 
The expression x4 - 9 is equivalent to

[1] (x2 - 3)(x2 - 3) [2] (x2 + 3)(x2 - 3) [3] (x2 + 3)(x2 + 3) [4] (x2 + 1)(x2 - 9)



15. 
A two-way frequency table is shown at the right.

What is the marginal relative frequency of the number of students ages 14-17 ?
t15
[1] 36% [2] 40% [3] 47% [4] 60%
 


16. 
A fungus attacks a forest of 180 elm trees. Each month after the attack, the living trees decrease by one-third. If x = time in months, and y = the number of living trees, which graph represents this situation ove 5 month?

[1]
[2]
[3]
[4]
 


17. 
What is the average rate of change between f (1) and f (5) in the function f (x) = x2 - x - 6 ?

[1] -6 [2] -5 [3] 5 [4] 14
 


18. 
Anna invests $200 compounded annually at a fixed rte of 12% for 4 years. What will be the amount in the account at the end of 4 years?

[1] $322.26 [2] $320.45 [3] $314.70 [4] $312.50
 


19. 
Which ordered pair is not in the solution set of the system y < 2x + 4 and y > (½)x - 3 ?

[1] (3,2) [2] (0,0) [3] (-1,-3) [4] (1,6)
 


20. 
The volume of a cone is 20, where r is the radius and h is the height. Which formula may be used to find the height?

[1] 20a [2] 20b [3] 20d [4] 20c
 


21. 
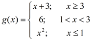
Function g (x) is defined as:
21T. Find g(-2).

[1] 1 [2] 6 [3] -4 [4] 4
 


22. 
A model rocket is launched vertically from a platform 64 feet above the ground. The height the rocket reaches during the flight is modeled by the equation s(t) = -16t2 + 48t + 64, where s is the height of the rocket and t is the time in seconds since the launch. After how many seconds will the rocket hit the ground?

[1] 1 [2] 2 [3] 3 [4] 4
 


23. 
What is the range of the function y = | x | - 3 ?

[1] { y | y > -3 } [2] { x | x > 3 } [3]{ y | y > 0 } [4] All Reals

 

24.  Which of the following statements is true regarding the parabolic graph at the right?
24T
[1] it is increasing from -2 to ∞
[2] it is increasing from -4 to ∞
[3] it is increasing from - ∞ to -2
[4] it is increasing from - ∞ to -4