Practice Page
Directions:
Decide whether the following statements are TRUE or FALSE. Check your answer when finished. Assume any variables represent a positive quantity.

 
 
 
fb1
 
Fb2
 
fb3
 
fb4
 
fb5a


Choose:
  1.
TRUE
FALSE
  2.
TRUE
FALSE
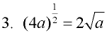
  3.
TRUE
FALSE
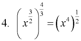
  4.
TRUE
FALSE
  5.
TRUE
FALSE


Directions: Answer these questions pertaining to working with fractional exponents. Choose the best answer. Check your answer when finished.

6.
Write fb6 in rational exponent form.
ff7
  Choose:
 
fb6a
fb6b
8
fb6c



7.
Write fb7 in radical form.
ff9a
   Choose:
 
fb7a
fb7b
fb7c
fb7d



8.

Evaluate f (64):      taa

f11a
   Choose:
 
72
104
fb8c
fb8d



9.
Which choice is equivalent to fb9?
ff10
   Choose:
 
f9b
fb9c
fb9a All choices.



10.
Evaluate t10 (without a calculator).
ff8
   Choose:
 
-4
fb10a
-8
fb10b

 

11.
Simplify: fb11
ff6
   Choose:
 
fb11a
fb11b
fb11c
fb11d




divider

NOTE: The re-posting of materials (in part or whole) from this site to the Internet is copyright violation
and is not considered "fair use" for educators. Please read the "Terms of Use".